Ir al contenido principal

Laplace

 Transformada de Laplace

¿Qué es la transformada de Laplace?

La transformada de Laplace ha sido en los últimos años de gran importancia en los estudios de ingeniería, matemática, física, entre otras áreas científicas, ya que además de ser de gran interés en lo teórico, proporciona una forma sencilla de resolver ecuaciones diferenciales, transformándolas en ecuaciones algebraicas.

Originalmente la transformada de Laplace fue presentada por Pierre-Simon Laplace (1745-1827) en su estudio sobre la teoría de la probabilidad, y en principio fue tratada como un objeto matemático de interés meramente teórico.

Las aplicaciones actuales surgen cuando diversos matemáticos trataron de dar una justificación formal a las “reglas operacionales” usadas por Oliver Heaviside (1850-1925) en el estudio de ecuaciones de la teoría electromagnética.

Definición de la transformada de Laplace

Sea f una función definida para t ≥ 0. La transformada de Laplace se define como sigue:

Se dice que la transformada de Laplace existe si la integral anterior converge, en caso contrario se dice que la transformada de Laplace no existe.

Por lo general, para denotar la función que se desea trasformar se usan letras minúsculas y la letra mayúscula corresponde a su transformada. De esta manera tendremos:

Ejemplos

Considere la función constante f(t) = 1. Tenemos que su transformada es:

Siempre que la integral converja, es decir, siempre que s > 0. En caso contrario, s < 0, la integral diverge.

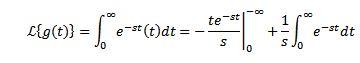
Sea g(t)=t. Su transformada de Laplace viene dada por:

Al integrar por partes y sabiendo que te-st tiende a 0 cuando t tiende a infinito y s > 0, junto con el ejemplo anterior tenemos que:

La transformada puede o no existir, por ejemplo para la función f(t) = 1/t, la integral que define su transformada de Laplace no converge y por lo tanto su transformada no existe.

Las condiciones suficientes para garantizar que la transformada de Laplace de una función f exista, son que f sea continua por partes para t ≥ 0 y sea de orden exponencial.

Se dice que una función es continua por partes para t ≥ 0, cuando para cualquier intervalo [a, b] con a > 0, hay un número finito de puntos tk, en donde f tiene discontinuidades y es continua en cada subintervalo [tk-1,tk].

Por otro lado, se dice que una función es de orden exponencial c si existen constantes reales M > 0, c y T > 0 tal que:

Como ejemplos tenemos que f(t) = t2 es de orden exponencial, ya que |t2| < e3t para todo t > 0.

De manera formal tenemos el siguiente teorema:

Teorema (Condiciones suficientes para la existencia)

Si f es una función continua por parte para t > 0 y de orden exponencial c, entonces existe la transformada de Laplace para s > c.

Es importante resaltar que esta es una condición de suficiencia, es decir, que podría darse el caso de que exista una función que no cumpla dichas condiciones y aun así su transformada de Laplace exista.

Un ejemplo de esto es la función f(t) = t-1/2 que no es continua por partes para t ≥ 0 pero su transformada de Laplace existe.

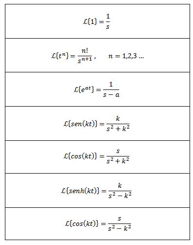
Transformada de Laplace de algunas funciones básicas

En la siguiente tabla se muestran las transformadas de Laplace de las funciones más comunes.

Comentarios

  1. Por lo que veo investigaste muy bien el tema de transformada de lapace y puedo decir que esta competa y muy entendible.

    ResponderBorrar

Publicar un comentario

Entradas más populares de este blog

Método de composición

Método de composición  El método de composición (conocido también como método mixto) permite generar variables aleatorias x cuando estas provienen de una función de densidad fx qué puede expresarse cómo la combinación convexa de distribuciones de probabilidad fi(x). Para generar valores de variables aleatorias no uniformes es usado el método de composición, en la cual la distribución de probabilidad f(x) se expresa cómo una mezcla de varias distribuciones de probabilidad f(x) seleccionadas adecuadamente. Este procedimiento se basa en el objetivo de minimizar el tiempo de computación requerido para la generación de valores de la variable aleatoria analizada. En ocasiones la densidad de interés se puede expresar como una mixtura discreta de densidades: Donde: Algunas de las distribuciones más conocida que pueden expresarse como una combinación convexa son: triangular, de Laplace y trapezoidal. Ejemplo . Supongamos que deseamos generar valores de una variable aleatoria X  c...

Trapezoidal

  REGLAS TRAPEZOIDALES.                REGLA TRAPEZOIDAL SENCILLA. La regla del trapecio o regla trapezoidal es la primera de las fórmulas cerradas de Newton-Cotes. Corresponde al caso en donde el polinomio de aproximación   es de primer orden. Regla del Trapecio . Este nombre se debe a la interpretación geométrica que le podemos dar a la fórmula. El polinomio de interpolación para una tabla que contiene dos datos, es una línea recta. La integral, corresponde al área bajo la línea recta en el intervalo [a,b]  , que es precisamente el área del trapecio que se forma. REGLA TRAPEZOIDAL DE SEGMENTOS MULTIPLES. Una manera de mejorar la exactitud de la regla trapezoidal sencilla es la de dividir el intervalo de integración desde "a" hasta "b" en conjunto de segmentos y aplicar el método a cada uno de los segmentos. En seguida se suman las áreas de los segmentos individuales y se obtiene la integral sobre el intervalo completo. P...